|
非圆截面直杆自由扭转时的应力和变形计算式(线弹性范围) |
|||||||||
|
式中 Mt———扭矩;G———切变模量;It、Wt———截面抗扭惯性矩和抗扭截面系数 |
|||||||||
|
截面形状与扭转切应力分布 |
It |
Wt |
附 注 |
||||||
|
矩形(b/a≥1)
|
b/a |
1 |
1.2 |
1.5 |
1.75 |
2 |
2.5 |
3 |
τmax在长边中点A、短边中点B的应力为 τB=γτmax |
|
α |
0.208 |
0.219 |
0.231 |
0.239 |
0.246 |
0.258 |
0.267 |
||
|
β |
0.141 |
0.166 |
0.196 |
0.214 |
0.229 |
0.249 |
0.263 |
||
|
γ |
1.0 |
0.930 |
0.860 |
0.820 |
0.795 |
0.766 |
0.753 |
||
|
b/a |
4 |
5 |
6 |
8 |
10 |
∞ |
|
||
|
α |
0.282 |
0.291 |
0.299 |
0.307 |
0.312 |
0.333 |
|
||
|
β |
0.281 |
0.291 |
0.299 |
0.307 |
0.312 |
0.333 |
|
||
|
γ |
0.745 |
0.744 |
0.743 |
0.742 |
0.742 |
0.742 |
|
||
|
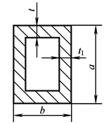
空心矩形
正多边形 (边长为a) |
|
|
τmax在各边中点 |
||||||
|
开口薄壁截面
切应力沿厚度线性分布 |
|
Wt=It/tmax |
τmax发生在各狭条矩形中厚度最大处的周边上 |
||||||
|
式中 si——第i个狭矩形(直的或弯的)的长度 ti——第i个狭矩形的厚度 tmax——各狭矩形中的最大厚度 η——修正系数
|
|||||||||
|
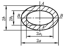
空心椭圆
|
|
|
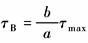
τmax在A点、B点应力为
|
||||||
|
注:截面周边各点切应力方向与周边相切,凸角点切应力为零,凹角点有应力集中现象。 |
|||||||||










