|
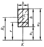
不同形状截面中性层和形心层的曲率半径值 |
|
|
截 面 形 状 |
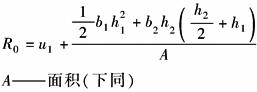
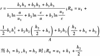
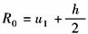
中性层的曲率半径r 形心层的曲率半径R0 |
|
|
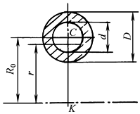
C——截面形心:K——曲率中心 (全表相同)
|
|
|
|
|
|
|
|
|
|
|
|
|
|
|
|
|
不同形状截面中性层和形心层的曲率半径值 |
|
|
截 面 形 状 |
中性层的曲率半径r 形心层的曲率半径R0 |
|
|
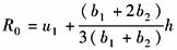
C——截面形心:K——曲率中心 (全表相同)
|
|
|
|
|
|
|
|
|
|
|
|
|
|
|
|