|
几种常用四杆机构的速度、加速度矢量方程 |
|
||
|
机构运动简图及速度、加速度矢量图 |
速 度 、 角 速 度 |
|
|
|
|
|||
|
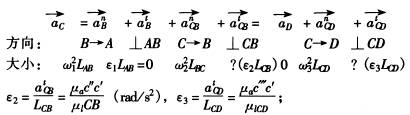
加 速 度 、 角 加 速 度 |
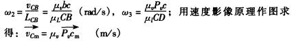
用加速度影像原理作图求得: |
|
|
|
|
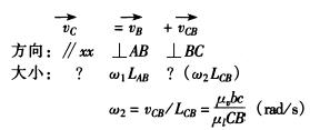
速 度 、 角 速 度 |
|
|
|
加 速 度 、 角 加 速 度 |
|
|
|
|
|
速 度 、 角 速 度 |
|
|
|
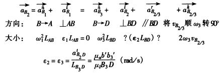
加 速 度 、 角 加 速 度 |
用加速度影像原理作图求得: |
||











