|
Ⅲ、Ⅳ类多杆机构的速度、加速度矢量方程 |
|
|
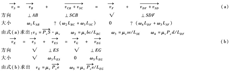
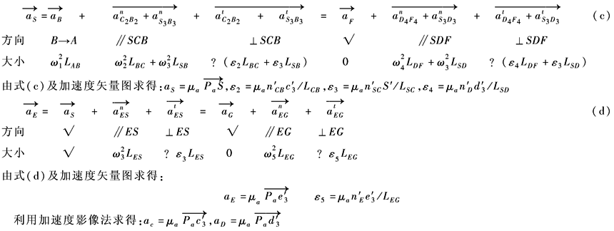
Ⅲ类三序六杆机构 已知:固定铰A、F、G位置及各杆长度、主动件1的ω1、ε1=0及方向、位置φ1选用作图比例尺μl、μυ、μa,υB=ω1LAB,方向垂直AB并与ω1一致
|
|
|
速 度 、 角 速 度 |
利用速度影像法求得
机构图中闭链CDE的三根悬杆2、4、5延长线的交点,在杆3上的投影称为特殊(辅助)点S。在运动分析时不能选择与绝对瞬心P36重合的S45作为S点,因为这时υS45=υP36=0。本例中用S24作为S点,这样可以使在同一直线SCB及SDF上各点间的相对速度(υSC、υCB;υSD、υDF等)、相对法向(切向)加速度 |
|
加 速 度 、 角 加 速 度 |
|
|
Ⅳ类二序六杆机构 已知:固定铰A、G的位置及各杆长度主动件1的位置φ1、角速度ω1、角加速度ε1=0 求:各杆的角速度ωi及角加速度εi 各活动铰(C、D、E、F)的速度及加速度
|
|
|
速 度 、 角 速 度 |
由式(a)及速度矢量图,过速度极点Pυ及υB矢端点b分别作直线 以速度比例尺μυ=ω1μlAB/Pυb作△cS3f∽△CS3F、△dS4e∽△DS4E,将△cS3f、△dS4e分别绕速度矢量图中S3、S4转动试凑,使△cS3f的c、f点落在 也可以上述特殊比例尺μυ作△Pυef∽△GEF及△bcd∽△BCD,再将△Pυef及△bcd分别绕矢量图中Pυ及b点转动,并使△Pυef及△bcd的e、f、c、d分别落在直线 |
|
加 速 度 、 角 加 速 度 |
由式(c)及加速度矢量图(比例尺μa= |






