|
采用Q阀的单自由度负载力系统 |
||
|
项目 |
分析 |
说明 |
|
动 态 方 程 |
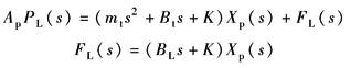
与驱动力系统相比,仅力平衡方程有所不同:
|
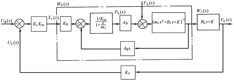
参见表电液力伺服系统的类型及特点中系统原理图 |
|
方 块 图 |
|
|
|
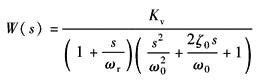
传 递 函 数 |
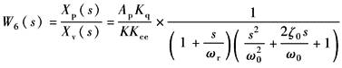
图中W6(s)系以Xv(s)为输入,Xp(s)为输出的具有弹簧负载的阀控动力元件的传递函数。可直接引用表传递函数及其简化中结果,即
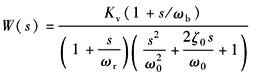
图中 W7(s)=BLs+K=K(1+1/ωb) 于是开环传递函数
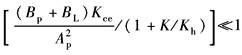
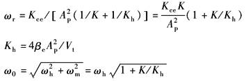
Kv=KiKsvKqApKf/Kce Kv——开环增益 考虑到
于是W(s)可以简化成
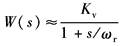
如果ω0?ωr,则
|
ζ0见表采用Q阀的单自由度驱动力系统 ωb=K/BL 结论: (1)采用Q阀的负载力系统,不易出现采用Q阀的驱动力系统那样的严重稳定性问题 (2)可以采用PI放大器,使0型系统变成Ⅰ型系统 |








