|
采用P阀的单自由度驱动力系统 |
||
|
项 目 |
分析 |
说明 |
|
动 态 方 程 |
与采用Q阀的单自由度驱动力系统相比,仅伺服阀的传递函数不同。P阀的传递函数:
|
Ks1——P阀的压力增益,N/(m2·A) Ks2——P阀的流量—压力系数,N·s/m5 QV——使缸运动的强制流量,m3/s ωs1——P阀的一阶因子频率,rad/s ωs2——P阀的二阶因子频率,rad/s |
|
方 块 图 |
|
|
|
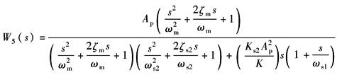
传 递 函 数 |
图中:
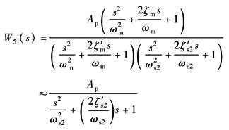
W5(s)的分母为四阶,一、二项Ks2A2ps(1+s/ωs1)/K不会影响高阶项,因此W5(s)可写成如下形式:
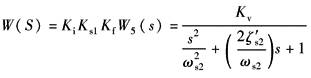
于是开环传递函数:
Kv=KiKs1ApKf Kv——开环增益,V/V |
K——负载刚度,N/m 结论: (1)采用P阀时,系统开环传递函数不存在采用Q阀时的二阶微分环节,也就是说采用P阀的驱动力系统的稳定性比Q阀时好得多 (2)如P阀的频宽很高,可近似看做比例环节 (3)采用P阀时,可以采用PI放大器 |





