|
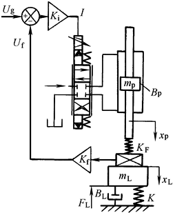
采用Q阀的两自由度驱动力系统 |
|||
|
项目 |
分析 |
说明 |
|
|
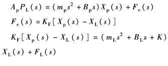
物 理 模 型 及 动 态 方 程 |
与单自由度系统相比,仅力平衡方程不同:
|
|
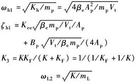
KF——力传感器刚度,N/m |
|
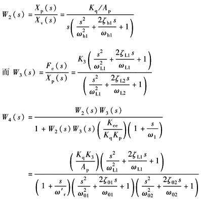
方 块 图 及 其 简 化 |
|
||
|
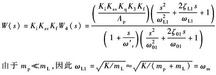
开 环 传 递 函 数 及 分 析 |
图b中W2(s)相当于不存在弹性负载的阀控缸以Xv为输入,以Xp为输出的传递函数,可直接引用表传递函数及其简化中K=0的结论:
如ω02?ω01,则ω02所处的二阶环节可略去,此时
|
ωL2——负载谐振频率
ζL1——负载阻尼比
ωL2——负载力及传感器的综合谐振频率
ζL2——综合阻尼比 ω'r、ω01、ω02、ζ01、ζ02——将W4(s)折成典型环节后的参数 结论: 两自由度系统的简化传递函数与单自由度系统型式相同,单自由度系统的有关结论原则上也适用于两自由度系统 |
|







