|
采用P阀的单自由度负载力系统 |
||
|
项 目 |
分析 |
说明 |
|
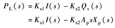
动 态 方 程 |
为说明本质问题,设P阀的频宽很高,其传递函数可简化为
|
Ks1——P阀的压力增益,N/(m2·A) Ks2——P阀的流量-压力系数,N·s/m5 |
|
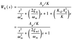
方 块 图 |
|
|
|
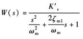
传 递 函 数 |
图中:
于是系统开环传递函数
K'v=KiKs1ApKf K'v——开环增益,V/V |
ωm——机械谐振频率,rad/s
ζm——机械阻尼系数 结论: (1)采用P阀的负载力系统,亦为0型系统 (2)对于负载力系统,看不出采用P阀有什么更为显著的好处 |




