|
三通阀控制不对称缸的动态特性 |
|||
|
三通阀控制不对称缸有两种类型,即三通阀控制差动缸、活塞缸,它们共同特点是只有活塞腔一腔受控,液压弹簧刚度是四通阀-对称缸的一半,液压谐振频率是四通阀-对称缸的1/ |
|||
|
项目 |
图或公式 |
说明 |
|
|
物 理 模 型 |
三通阀控制差动缸 |
|
图a三通阀控制差动缸中: 取Ar=Ac/2,稳态时pc0=ps/2,这种类型常用作机液伺服机构,如仿型机床、助力操纵系统 图b三通阀控制活塞缸中: FL很大,因此取Ac?Ar;且pr=常值,pr=ps,pr用于使缸回程。这种类型的典型应用是轧机液压压下(HAGC)系统 |
|
三通阀控制活塞缸 |
|||
|
动 态 方 程 |
阀的流量方程 |
|
Kq,Kc——三通阀的流量增益、流量-压力系数 pc——活塞腔内的工作压力 Vc——活塞腔的容积,初始容积为V0 |
|
受控活塞腔的连续性方程 |
|
||
|
活塞的运动方程 |
|
对于图b,只需将式中的ps换成pr |
|
|
方 块 图 |
由负载流量获得缸位移的方块图 |
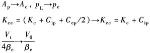
与四通阀控制对称缸的方块图形式相同,但参数不同 |
将四通阀控制对称缸的方块图作如下置换后,便是三通阀控制差动缸或活塞缸的方块图:
|
|
由负载压力获得缸位移的方块图 |
|||
|
传 递 函 数 |
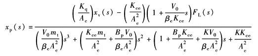
一般表达式 |
|
|
|
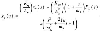
传 递 函 数 的 简 化 |
没有弹性负载 K=0 |
|
与四通阀控制对称缸相比,液压谐振频率ωh为四通阀的1/ |
|
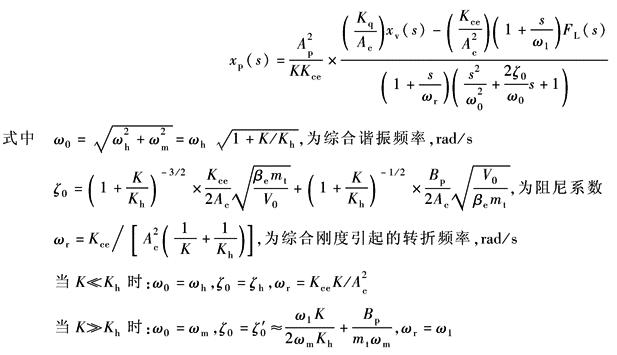
存在弹性负载 K≠0 |
|
||







