|
解决对称四通阀与不对称缸不相容的方法 |
||
|
方法名称 |
方法及原理 |
实质及特点 |
|
1.阀口面积补偿法 |
由表动态方程及压力跃变中图a,并令L1=L2=L/2,可导出平稳控制的条件:
式中,W1、W2、W3、W4分别为阀口1、2、3、4的面积梯度 |
实质是采用不对称阀,利用阀的面积梯度与活塞面积进行匹配、补偿 特点是必须采用非标准伺服阀,L1≠L2≠L/2时结果是近似的 |
|
2.非线性算法或电路补偿法 |
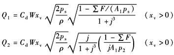
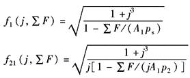
(1)由表动态方程及压力跃变中图a,不计油的压缩性及缸的泄漏,并令j=A2/A1,可导出补偿前流量公式:
式中,xv=KxI,I为伺服阀的输入电流 (2)活塞杆上装一只拉压力传感器检测∑F (3)作两个非线性函数或电路
(4)按左图算法及接法,并加方向鉴别器,可得补偿后Q1、Q2的等效流量
|
非线性补偿的算法或电路接法 该补偿法的实质是通过算法或电路产生补偿电流,使阀产生补偿位移,以补偿面积差,该补偿法对活塞任意位置均适用,但因未计及油的压缩性,故属静态补偿 |





