|
传递函数及其简化 |
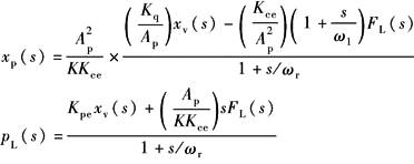
|||||
|
|
考虑因素 |
简化条件 |
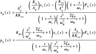
简化后的传递函数 |
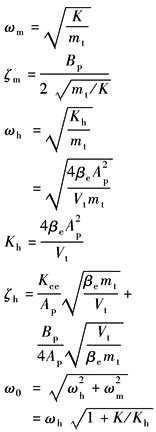
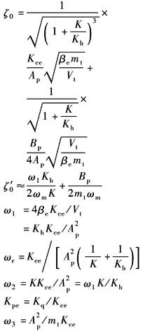
动态参数 |
|
|
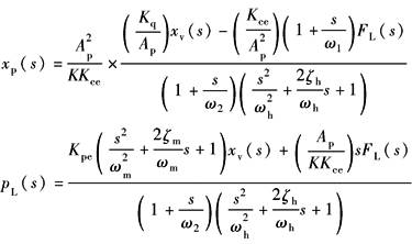
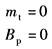
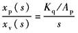
1 |
质量mt 阻尼Bp 刚度K 压缩性βe 缸泄漏Ctp |
|
K任意 |
|
|
|
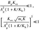
K=Kh |
|
||||
|
K?Kh |
|
||||
|
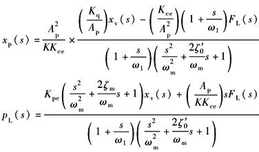
2 |
质量mt 阻尼Bp 压缩性βe 缸泄漏Ctp |
|
|
||
|
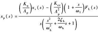
3 |
质量mt 阻尼Bp 缸泄漏Ctp |
|
|
||
|
4 |
刚度K 阻尼Bp 缸泄漏Ctp |
|
|
||
|
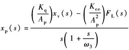
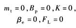
5 |
空载 |
|
|
||












