|
流量增益、流量-压力系数汇总 |
||
|
工作点 |
理想零开口四通阀 |
正开口四通阀 |
|
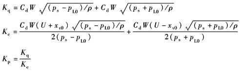
平衡点: xv=xv0 pL=pL0 QL=QL0 |
|
|
|
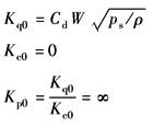
零点: xv=0 pL=0 QL=0 |
|
|
|
流量增益、流量-压力系数汇总 |
||
|
工作点 |
理想零开口四通阀 |
正开口四通阀 |
|
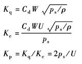
平衡点: xv=xv0 pL=pL0 QL=QL0 |
|
|
|
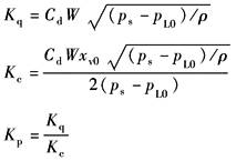
零点: xv=0 pL=0 QL=0 |
|
|