|
喷嘴挡板阀的力特性 |
||
|
项目 |
计算公式 |
说明 |
|
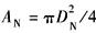
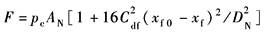
作用在单喷嘴挡板阀挡板上的液流力 |
|
pc——喷嘴内的压力 AN——喷嘴面积, DN——喷嘴直径 |
|
作用在双喷嘴挡板阀挡板上的液流力 |
|
Ks0——零点液动力弹簧刚度, |
|
挡板的运动方程 |
|
Ta——挡板的驱动力矩 Ja——挡板组件的转动惯量 Ka——支承挡板的扭簧的扭转刚度 θ——挡板相对于平衡位置的转角 r——喷嘴轴线至扭转支点的距离 |
|
挡板运动的稳定性条件之一 |
|
|
