|
喷嘴挡板阀的静态特性 |
||||
|
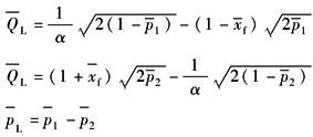
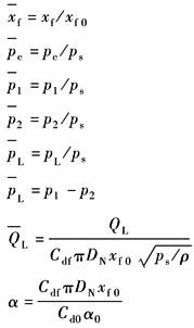
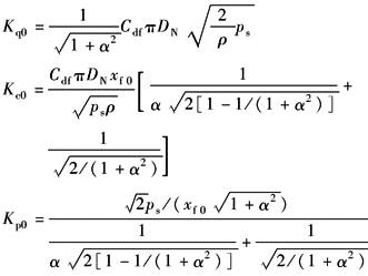
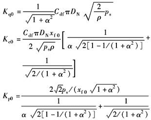
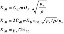
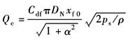
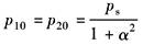
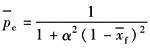
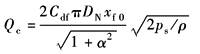
虽然喷嘴挡板阀与滑阀的结构不同,但单喷嘴挡板阀与带一个固定节流孔的正开口二通滑阀、双喷嘴挡板阀及带两个固定节流孔的正开口四通滑阀的工作原理相同,静态特性亦相同,只需将有关公式和图表中的参数作如下置换: ① 用喷嘴挡板阀流量系数Cdf置换滑阀流量系数Cd; ② 用喷口周长πDN置换滑阀面积梯度W; ③ 用挡板至喷嘴的零位距离xf0置换滑阀的预开口量U,用挡板位移xf置换滑阀位移xv 喷嘴挡板阀的静态特性见下表 |
||||
|
喷嘴挡板阀的静态特性 |
||||
|
|
单喷嘴挡板阀 |
双喷嘴挡板阀 |
备注 |
|
|
压力增益特性 |
|
|
|
|
|
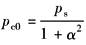
零位压力 |
|
|
|
|
|
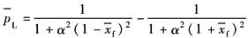
无量纲压力-流量 |
|
|
|
|
|
零 点 阀 系 数 |
a≠1 |
|
|
|
|
a=1 |
|
|
||
|
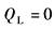
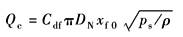
零 位 泄 漏 流 量 |
a≠1 |
|
|
|
|
a=1 |
|
|
||








