|
喷嘴挡板阀的设计 |
||
|
以双喷嘴挡板阀为例 |
||
|
项目 |
计算式 |
说明 |
|
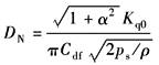
喷嘴直径DN |
|
Kq0——零点流量增益;根据该阀及其控制的稳定性、稳态及动态性能要求确定Kq0值 通常DN在0.3~0.8mm区间 |
|
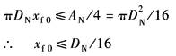
零位间隙xf0 |
为避免产生流量饱和现象,
|
通常xf0在20~60μm区间 |
|
固定节流孔直径 |
|
α=1时,零点压力增益最大,压力增益特性的线性度最好,且零位压力p10=p20=ps/2,所以通常取α=1;但如果为减少零位泄漏,减少供油流量及功率损耗,则α≤0.707 |
|
喷嘴挡板阀流量系数 |
当喷嘴端部为锐边时, Cdf/Cd0=0.8 |
喷嘴与挡板间环形面积处的液流流动情况很复杂,流量系数Cdf,与雷诺数及喷嘴端部的尖锐程度有关。固定节流孔为细长型,Cdf=0.8左右 |


