|
滑阀的静态特性及阀系数 |
||||||||
|
滑阀类型 |
无量纲 压力-流量特性方程 |
工作零点 |
零点阀系数 |
零位泄漏 |
典型 应用 |
|||
|
Kq0 |
Kp0 |
Kc0 |
Qc |
|||||
|
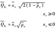
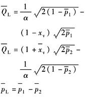
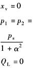
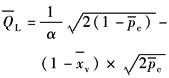
零 开 口 |
A.四通滑阀(四边)(表滑阀的种类及特征中图c) |
|
xv=0 pL=0 QL=0 |
|
∞(理论)
|
0(理论)
|
0(理论)
|
控制对 称缸或 马达 |
|
B.三通滑阀(双边)(表滑阀的种类及特征中图b) |
|
xv=0 pc=ps/2 QL=0 |
|
∞(理论) |
0(理论) |
0(理论)
|
控制差 动缸 Ac=2Ar |
|
|
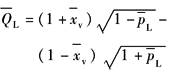
正 开 口 |
C.四通滑阀(四边)(表滑阀的种类及特征中图f) |
|
xv=0 pL=0 QL=0 |
|
2ps/U |
|
|
控制对 称缸或 马达 |
|
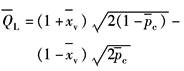
D.三通滑阀(双边)(表滑阀的种类及特征中图b) |
|
xv=0 pc=ps/2 QL=0 |
|
ps/U |
|
|
控制差 动缸 |
|
|
E.带两个固定节流孔的四通滑阀(双边)(表滑阀的种类及特征中图d) |
|
|
|
ps/U |
|
|
作双级滑阀式伺服阀的前置级 |
|
|
F.带一个固定节流孔的二通滑阀(单边)(表滑阀的种类及特征中图a) |
|
xv=0 pc=ps/ (1+α2) QL=0 |
|
ps/2U |
|
|
用于性能要求不高的简单液压伺服机构 |
|
|
符 号 说 明 |
式中
QLm——最大空载流量, Cd——流量系数 W——面积梯度(开口周边总长),m ρ——油的密度,kg/m3 μ——油的动力黏性系数,Pa·s rc——阀芯与阀套的半径间隙,m 对于正开口阀: 对于三通阀: 对于F: 对于E: |
|||||||
|
静 态 特 性 曲 线 |
|
|||||||
|
|
||||||||


























