|
滑阀的力学特性 |
|||||||
|
表1 |
|||||||
|
滑阀上的 作用力 |
计算公式 |
附图及说明 |
|||||
|
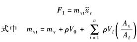
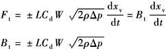
惯性力 FI |
|
mvt——总质量,kg mv——阀芯质量,kg
ρV0——阀芯腔室中油液的质量;ρ为油液的密度,kg/m3 V0——油液容积,m3
|
|||||
|
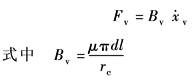
黏性 摩擦力 Fv |
|
Bv——滑阀的黏性摩擦系数 μ——油液的动力黏性系数,Pa·s d——滑阀直径,m l——阀芯凸肩总长,m rc——阀芯与阀套的径向间隙,m |
|||||
|
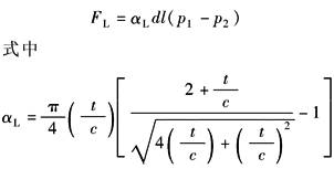
液压 卡紧力 FL |
|
αL——侧向力系数;t/c=0.9时,αLmax=0.27 d——滑阀凸肩直径,m l——滑阀凸肩宽度,m p1,p2——凸肩两侧压力,Pa t——侧压时大端的最小间隙,m c——阀芯处于中心时大端处的径向间隙,m e——阀芯与阀套的偏心距,m 减弱措施: (1)控制锥度使t/c=1,减少侧向力;(2)在阀芯两端支承凸肩上开3~5条环形槽,可显著减少侧向力;(3)提高过滤精度,减少因杂质造成的卡住现象 |
|
||||
|
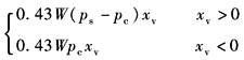
稳态 液动力 Fs |
(1)流过单个阀口时:
方向:力图使阀口关闭 (2)各种滑阀的稳态液动力见表2 |
Cd,Cv——流量系数、速度系数;Cd=0.61,Cv=0.98 W——面积梯度,m Δp——阀口上的压降,Pa θ——阀口处的射流角,θ=69° Ks——液动力刚度系数,Ks=0.43WΔp,N/m 补偿办法: (1)径向小孔法;(2)回流凸肩法;(3)负力窗口法;(4)压降法 |
|||||
|
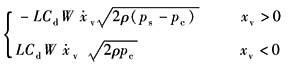
瞬态 液动力 Ft |
(1)流过单个阀腔时:
方向:与阀腔流体加速的方向相反 (2)各种滑阀的瞬态液动力见表2 |
L——液体在阀腔内的实际流程;Ft与xv方向相反为正阻尼;Ft与xv方向相同为负阻尼 Bt——阻尼长度 |
|||||
|
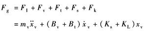
滑阀 的运动 方程 |
|
Fg——滑阀的驱动力,N Fk——弹簧力,Fk=KLxv KL——弹簧刚度 注:侧向力FL补偿后造成的摩擦力较小,已忽略 |
|||||
|
表2 |
|||||||
|
滑阀类型 |
工作阀口数 |
稳态液动力Fs |
瞬态液动力Ft |
||||
|
四 通 滑 阀 |
零开口(表滑阀的种类及特征中图c) |
2 |
0.43W(ps-pL)xv |
|
|||
|
正开口(表滑阀的种类及特征中图f) |
4 |
0.86W(xvps-UpL) |
|
||||
|
三 通 滑 阀 |
零开口(表滑阀的种类及特征中图b) |
1 |
|
|
|||
|
正开口(表滑阀的种类及特征中图b) |
2 |
0.43W[xvps+U(ps-2pc)] |
|
||||
|
带两个固定节流孔的正开口四通滑阀(表滑阀的种类及特征中图d) |
2 |
0.43W[xv(p1+p2)-UpL] |
|
||||
|
带一个固定节流孔的正开口二通滑阀(表滑阀的种类及特征中图a) |
1 |
0.43Wpcxv |
|
||||











