|
滑阀的功率特性及效率 |
|||
|
下面以应用最广的零开口四通滑阀为例 |
|||
|
项目 |
计算公式 |
说明 |
|
|
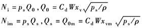
输入功率 最大输入功率 |
|
Q0,Q0m——空载流量、最大空载流量 Qs——供油流量 QL——负载流量 pL,ps——负载压力、供油压力 η——最大输出功率点
|
|
|
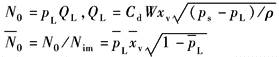
输出功率 无量纲输出功率 |
|
||
|
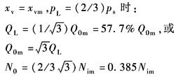
最大输出 功率及条件 |
|
||
|
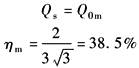
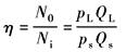
效率 |
|
||
|
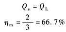
定量泵供油 |
恒压变量泵供油 |
||
|
|
|
||






