|
稳态误差分析 |
|
|
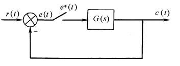
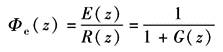
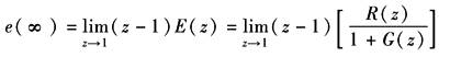
对于如下图所示的离散系统,其误差脉冲传递函数Fe(z)为
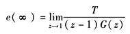
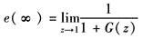
利用终值定理,可计算系统的稳态误差e(∞)
对于典型的输入函数,系统的稳态误差计算见下表 |
|
|
典型输入作用下稳态误差计算式 |
|
|
输入信号R(z) |
e(∞)计算式 |
|
单位阶跃信号
|
|
|
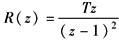
单位斜坡信号
|
|
|
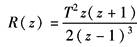
单位加速度信号
|
|
|
稳态误差分析 |
|
|
对于如下图所示的离散系统,其误差脉冲传递函数Fe(z)为
利用终值定理,可计算系统的稳态误差e(∞)
对于典型的输入函数,系统的稳态误差计算见下表 |
|
|
典型输入作用下稳态误差计算式 |
|
|
输入信号R(z) |
e(∞)计算式 |
|
单位阶跃信号
|
|
|
单位斜坡信号
|
|
|
单位加速度信号
|
|