|
过渡过程分析 |
|
|
评价离散系统过渡过程品质时,仍以单位阶跃信号作为输入信号,以超调量、过渡过程时间等特征量来描述系统的性能 (1)单位阶跃响应 设系统如图1所示
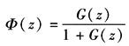
图1 系统的闭环脉冲传递函数为
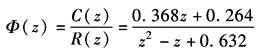
其中 故 单位阶跃输入时
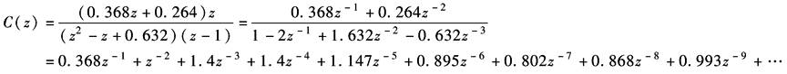
则
Z反变换后
|
|
|
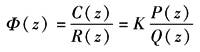
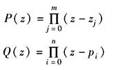
输出信号C*(t)如图2所示 该系统的单位阶跃响应是衰减振荡,相应的特征值为 c*(∞)=1 σp=40% ts=10s(Δ=0.05) (2)离散系统的极点分布和瞬态响应之间的关系 离散系统的闭环脉冲传递函数为
其中 |
图2 |
|
式中 K——常数; zj——系统的零点; pi——系统的极点 则pj在Z平面上的位置与系统瞬态响应的关系如图3所示
图3 极点位置与瞬态响应的关系 |
|









