|
稳定性分析 |
|
(1)稳定条件 离散控制系统稳定的充要条件是其特征方程的根全部分布在Z平面上以原点为圆心的单位圆内。如图1所示
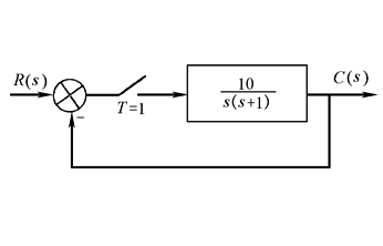
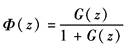
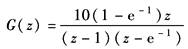
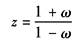
图1 图2 (2)劳斯稳定判据 其判别步骤如下: ① 求出离散系统的特征方程D(z)=0; ② 在D(z)=0中令z=(1+ω)/(1-ω),求出新方程D'(ω)=0; ③ 利用劳斯表判别D'(ω)=0的根是否均为负实部。若D'(ω)的根全部具有负实部,则D(z)=0的根全部位于Z平面的单位圆内 例 离散系统如图2所示 系统的闭环脉冲传递函数为
其中 因此 令 则 列劳斯表
劳斯表第一列元素符号变化一次,因此D'(ω)有一个根具有正实部,故D(z)中有一个根位于Z平面上的单位圆之外,系统不稳定 |




