|
脉冲传递函数 |
||
|
脉冲传递函数是描述离散控制系统输入量和输出量的主要关系式,是分析离散控制系统的主要工具 脉冲传递函数的定义 |
||
|
|
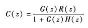
脉冲传递函数是系统在零初始条件下,输出量的Z变换与输入量的Z变换之比,通常以G(z)表示。对于左图所示的开环系统,其脉冲传递函数为
|
|
|
根据离散脉冲模型
因此
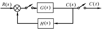
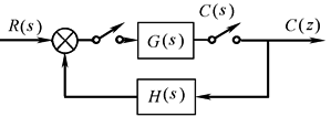
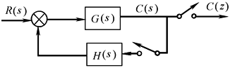
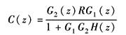
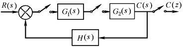
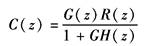
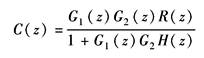
式中 h(mT)——G(s)的单位脉冲响应的离散值 离散控制系统的脉冲传递函数 在求取离散控制系统的脉冲传递函数时,必须注意采样开关在系统中的位置,采样开关位置不同其脉冲传递函数的表达式也不同,下表给出了几种典型情况下闭环离散系统输出量的Z变换式 |
||
|
闭环离散系统的Z变换 |
||
|
|
|
|
|
|
|
|
|
|
|
|
|
|
|
|
|
|
|
|












