|
用Z变换求解差分方程 |
|
用Z变换求解差分方程与用拉普拉斯变换解微分方程一样,是非常有用的,其实质是利用Z变换将差分方程转化为代数方程。由Z变换的性质知,x[(n+m)T]的Z变换式为
式中,x(0),x(1),…是x(t)在不同时刻的采样值。利用上述关系就可以将差分方程转化为以z为变量的代数方程,并自动包含了初始采样值。例如差分方程
方程两端Z变换后得
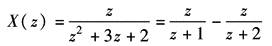
代之初始数据并整理之
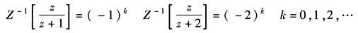
利用Z变换表可得
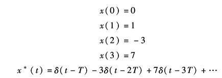
因此X(z)的原函数x(kT)为
各时刻的函数值为
|
|
用Z变换求解差分方程 |
|
用Z变换求解差分方程与用拉普拉斯变换解微分方程一样,是非常有用的,其实质是利用Z变换将差分方程转化为代数方程。由Z变换的性质知,x[(n+m)T]的Z变换式为
式中,x(0),x(1),…是x(t)在不同时刻的采样值。利用上述关系就可以将差分方程转化为以z为变量的代数方程,并自动包含了初始采样值。例如差分方程
方程两端Z变换后得
代之初始数据并整理之
利用Z变换表可得
因此X(z)的原函数x(kT)为
各时刻的函数值为
|