|
Z反变换 |
|
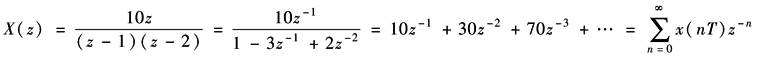
Z反变换是根据X(z)求出原函数x*(t)和x(nT)。常用Z反变换的方法有以下两种 ① 幂级数法。幂级数法是利用长除把X(z)展开成z-i的幂级数式,然后根据Z变换的定义式求出x*(t)或x(nT)。例如
因此
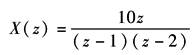
这种方法有时不便于求取x(nT)的闭式结果 ② 部分分式法。这是一种常用方法,它将X(z)分解成为部分分式,然后利用Z变换表求取x*(t)或x(nT),例如
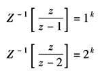
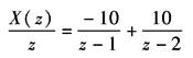
展开成部分分式
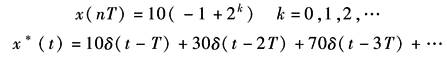
查表Z变换定义中表可得
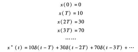
因此 |
|
Z反变换 |
|
Z反变换是根据X(z)求出原函数x*(t)和x(nT)。常用Z反变换的方法有以下两种 ① 幂级数法。幂级数法是利用长除把X(z)展开成z-i的幂级数式,然后根据Z变换的定义式求出x*(t)或x(nT)。例如
因此
这种方法有时不便于求取x(nT)的闭式结果 ② 部分分式法。这是一种常用方法,它将X(z)分解成为部分分式,然后利用Z变换表求取x*(t)或x(nT),例如
展开成部分分式
查表Z变换定义中表可得
因此 |