|
概述 |
||
|
在控制系统中,若有一部分信号是离散的脉冲序列或数字序列,这样的系统称为离散控制系统或采样控制系统。离散控制系统按其采样的方法不同,可分为模拟采样系统和数字采样系统。数字测量控制系统和计算机控制系统属于数字采样控制系统 在数字控制系统中,信号的特征和等效方块图如图1a和b所示
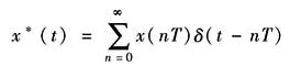
图1 离散控制系统的优点如下: ① 允许采用高灵敏度的数字测量元件,以提高系统的灵敏度; ② 当数码信号的位数足够时,能够保证足够的计算精确度; ③ 信号传递过程中抗干扰的能力强; ④ 可以用一机实现多点测量和控制; ⑤ 可以灵活和有效地实现信号处理、系统的校正及优化 信号的采样过程 离散控制系统中,把连续信号转化成脉冲或数字序列的过程,称为采样过程。在数字控制系统中,有时并不是真实地存在着某种采样开关,而只是表示在系统中存在由连续信号变换为离散信号的变换过程 在采样过程中,采样开关以一定的时间间隔T做一次瞬时闭合,以对连续信号x(t)进行采样,从而在开关的输出端得到一组脉冲序列x(0T),x(1T),x(2T),…,其中T称为采样周期,这组脉冲序列通常以x*(t)表示,且用下列数学式描述
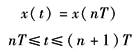
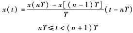
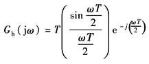
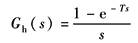
采样过程可看做脉冲调制过程,采样开关起脉冲发生器的作用。理论证明,对于一个具有带宽为ωb频谱的连续信号,对其进行采样时,为使该信号能够不失真地复原,采样频率ωs(=2π/T)一定要大于2ωb,这一原则称为采样定理 信号的复原 连续信号经过采样后,其离散信号的频谱中除了与连续信号频谱对应的主要频谱分量外,还有无限多的附加频谱分量,这些分量相当于对系统的高频干扰。为除去这些高频分量,并使离散信号x*(t)不失真地复原为连续信号x(t),通常需要采用起低频滤波作用的保持电路和保持器 根据采样间隔中保持信号的不同方式,保持器可分为零阶、一阶和多阶。一阶和二阶保持器的数学描述如下表所示 |
||
|
保持器的数学描述 |
||
|
分类 |
零阶保持器 |
一阶保持器 |
|
函数式 |
|
|
|
传递函数 |
|
|
|
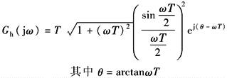
频率特性 |
|
|
|
零阶和一阶保持器的频率特性如图2所示
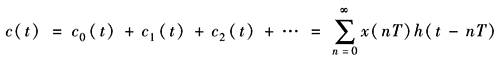
图2 数字控制系统的离散脉冲模型 对于如图3所示的离散系统,连续部分传递函数为G(s),离散信号为x*(t),其输出信号c(t)可以利用线性系统脉冲响应和叠加原理得到,即
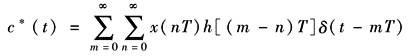
式中 x(nT)——t=nT时刻G(s)输入脉冲的幅值; h(t-nT)——t=nT时刻G(s)的脉冲响应函数 若c(t)经过一个与输入采样同步的虚拟采样开关采样,则c(t)将变换成离散信号c*(t)
式中 c(mT)——t=mT时刻c(t)的采样值 因此
图3 |
||











