|
描述函数的概念 |
||||
|
描述函数分析法的基本思想是把线性系统的频率分析方法推广应用到非线性系统,因此它是一种近似处理非线性问题的方法。使用描述函数法时要求系统满足以下条件: ① 系统可归化为线性部分和包含一个可分离非线性元件的典型结构; ② 非线性元件的输出量中高次谐波分量的振幅值较小; ③ 线性部分具有较好的低通滤波特性 满足上述条件的情况下,当非线性元件输入正弦信号x(t)=Xsinωt时,系统中各部分之间的信号特征如下图所示
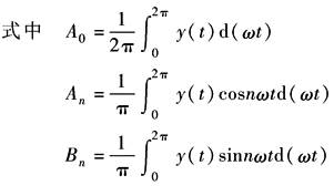
图中非线性元件的稳态输出y(t)用富氏级数来表示时,
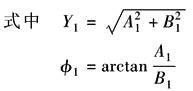
若非线性特性是斜对称的,则A0=0。若线性部分具有较好的低通滤波特性,则线性部分的输出主要由y(t)中的基波分量决定。因此对于整个系统而言,分析非线性元件的输入信号x(t)和线性部分输出C(t)之间的关系时,可以近似以y(t)中的基波分量y1(t)作为非线性元件的整个输出量,即
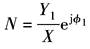
因此,描述函数法的实质,就是取非线性元件输出谐波中的基波分量来近似描述非线性元件特性的一种方法。非线性元件的描述函数N,就是非线性元件的输出基波分量和输入正弦信号x(t)=Xsinωt的复数比,即
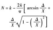
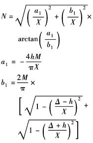
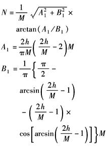
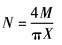
式中 N——非线性元件的描述函数; X——输入正弦信号幅值; Y1——非线性元件输出基波分量的幅值; f1——非线性元件输出基波分量和输入信号的相位差 如果非线性元件中不包含贮能元件,N只是输入振幅的函数;包含贮能元件时,则N将是输入幅值和频率的函数。如果非线性是单值的,则f1=0;非线性多值时,则f1≠0。下表给出了几种典型非线性特性及其描述函数 |
||||
|
各种典型非线性特性及其描述函数 |
||||
|
类 型 |
非线性元件的 输入输出特性 |
输入为正弦波x(t)=Xsinωt时的输 出波形[实际波y(t),基谐波y1(t)] |
描述函数N与输入正弦波幅值、 非线性元件特征值间的关系 |
描述函数表达式 |
|
饱 和 |
|
|
|
|
|
死 区 ︵ 不 灵 敏 区 ︶ |
|
|
|
|
|
具 有 滞 环 的 继 电 器 型 |
|
|
|
|
|
继 电 器 型 |
|
|
|
|
|
具 有 死 区 的 继 电 器 型 |
|
|
|
|
|
具 有 死 区 和 滞 环 的 继 电 器 型 |
|
|
|
|
|
具 有 间 隙 的 伺 服 机 构 |
|
|
|
|






























