|
用综合性能指标确定校正装置 |
|||
|
采用综合性能指标来确定校正装置的方法,属于调整系统的结构和参数使系统性能最优的设计方法。其主要步骤如下 ① 根据性能最优原则确定标准闭环传递函数结构和系数。下表是按ITAE准则确定的Ⅰ型系统的闭环传递函数及其性能指标 |
|||
|
按ITAE准则确定的Ⅰ型系统的标准传递函数 |
|||
|
n |
σp/% |
ωnts |
|
|
1 |
|
|
|
|
2 |
4.6 |
6.0 |
|
|
3 |
2 |
7.6 |
|
|
4 |
1.9 |
5.4 |
|
|
5 |
2.1 |
6.6 |
|
|
6 |
5 |
7.8 |
|
|
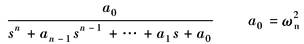
② 选取某种结构形式校正装置,使校正后系统的闭环传递函数[包含校正装置传递函数Gc(s)]与标准闭环传递函数具有相同的阶次 ③ 利用特征方程的系数相等关系求取校正装置的结构参数 举例:确定下图系统的校正装置Gc(s)
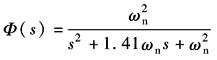
根据上表选择校正后系统的标准闭环传递函数为
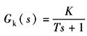
未校正系统的开环传递函数为
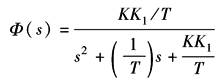
选择校正装置
串联校正后系统闭环传递函数
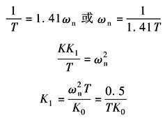
令特征方程系数相等,则 因此 根据K1即可确定校正装置的元件参数 |
|||






