|
校正装置的确定 |
|
|
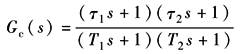
(1)串联校正装置的确定 串联校正如图1a所示,其中G0(s)为系统原有部分的传递函数,Gc(s)为串联校正装置的传递函数,期望特性的传递函数为Gd(s),校正后系统应满足:Gd(s)=Gc(s)G0(s) 相应的对数频率特性为
根据上式确定的校正装置对数频率特性如图1b所示
图1 校正装置的传递函数为
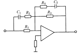
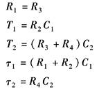
由表常用的校正装置中表2可得到校正装置的结构和相应的元件参数,如图2所示 |
|
|
|
|
|
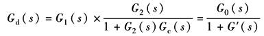
图2 (2)反馈校正装置的确定 反馈校正如图3a所示,其中G1(s),G2(s)为系统的原有部分传递函数,Gc(s)为反馈校正装置传递函数,期望特性为Gd(s),校正后系统应满足
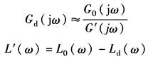
当︱G2(jω)Gc(jω)︱?1时 因此 当︱G2(jω)Gc(jω)︱=1时
因此,期望特性Ld(ω)和原系统的L0(ω)相重合 确定校正装置时,先分别绘出L0(ω)和Ld(ω),然后以Ld(ω)和L0(ω)的重合点为分界,分出︱G2(jω)Gc(jω)︱?1的频率范围,并利用上述两个关系求出L'(ω),如图3b所示
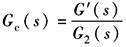
图3 根据L'(ω)可求出反馈校正装置的传递函数Gc(s):
通常还要根据G'(s)校核校正回路的稳定性。在回路稳定的条件下,即可以根据Gc(s)查表确定校正装置的结构及其相应参数 |
|







