|
连接矩阵及程序框图 |
|
|
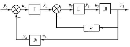
(1)连接矩阵 对于图1所示系统,各环节间的关系可以用连接矩阵来描述,从而构成闭环系统 |
|
|
图中 u1=y0-y4 u2=y1-ay3 u3=y2 u4=y3 其矩阵表示式为 U=WY |
图1 |
|
其中
W称为连接矩阵,它反映了系统中各环节之间的关系,如Wij表示第i号环节受第j号环节输出yj作用的作用系数 (2)仿真程序框图及说明 利用离散相似法进行连续系统数字仿真的程序框图如图2所示
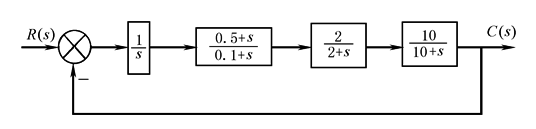
图2 例如,一控制系统如图3所示,利用系统数字仿真程序,可得仿真的控制系统的响应曲线如图4所示,并打印出,上升时间tr=1.6s,最大超调量σp=52%,调整时间ts=6.8s
图3
图4 控制系统阶跃响应曲线 |
|





