|
离散相似法的原理 |
|||||
|
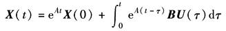
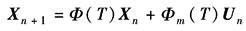
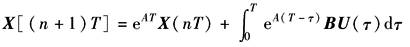
离散相似法数字仿真是以系统的函数方框图为数学模型,并以模型中所包含的典型环节将系统的数学模型离散化。在仿真过程中各环节独立地计算其输出,由连接矩阵建立各环节之间的关系,这种方法的仿真速度较快,且能插入非线性环节,所以能比较方便地推广应用于非线性系统的仿真 离散相似法是在系统的各环节前加入虚拟的采样-保持器得到其离散化的模型,如图1所示 图中X(t)是环节的状态变量。环节的状态方程和输出方程分别为
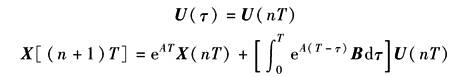
状态方程的时域解为
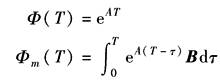
对上式进行离散化,并设环节前虚拟的采样——保持器的采样周期为T,则对于t=nT和t=(n+1)T的两任意相邻时刻状态变量的关系为
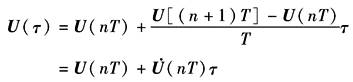
虚拟保持器的存在,使输入函数U(τ)将具有不同形式,如图2所示
图1
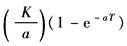
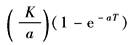
图2 (1)若为零阶保持器 因此 令 代入上式并写成递推式
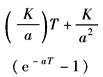
(2)若为一阶保持器
因此
令 代入上式并写成递推式,则
根据各环节的输出方程,可得
显而易见,离散方程系数Φ(T),Φm(T)和 在实际应用中,通常将控制系统中的典型环节分类,并分别求出相应的离散系数表达式和输出方程表达式,如下表所示 |
|||||
|
典型环节离散方程系数和输出方程 |
|||||
|
系数 |
积分环节 |
比例+积分 |
惯性环节 |
超前-滞后 |
比例 |
|
环节类型H |
0 |
1 |
2 |
3 |
4 |
|
典型传 递函数 |
|
|
|
|
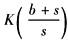
K |
|
|
|
|
|
|
|
|
K |
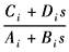
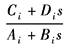
Ci/Bi |
Ci/Bi |
Ci/Bi |
Di/Bi |
Ci/Ai |
|
a |
0 |
0 |
Ai/Bi |
Ai/Bi |
0 |
|
b |
0 |
Di/Ci |
0 |
Ci/Di |
0 |
|
Φ(T) |
1 |
1 |
e-aT |
e-aT |
0 |
|
Φm(T) |
KT |
KT |
|
|
K |
|
|
KT2/2 |
KT2/2 |
|
|
0 |
|
输出方程 |
Yn+1=Xn+1 |
Yn+1=Xn+1+KbUn+1 |
Yn+1=Xn+1 |
Yn+1=(b-a)Xn+1+KUn+1 |
Yn+1=Xn+1 |








