|
误差和误差传递函数 |
|
|
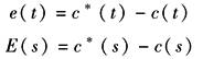
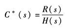
控制系统的精确度是用系统的误差来衡量的。因此,系统的稳态误差是系统的重要性能指标之一 对于下图所示的反馈控制系统,其误差、误差传递函数和稳态误差等概念可定义如下 (1)误差 系统的期望输出量c*(t)和实际输出量c(t)之差,即 |
|
|
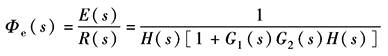
或 若系统为单位反馈系统,H(s)=1,则
若系统为非单位反馈系统,H(s)≠1,则
因此,对于单位反馈系统:
|
反馈控制系统 |
|
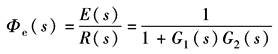
(2)误差传递函数 ① 控制作用下的误差传递函数[F(s)=0]
对于单位反馈系统
② 干扰作用下的误差传递函数[R(s)=0]
(3)稳态误差 控制系统误差函数e(t)的稳态分量,记为e(∞):
当控制和干扰作用同时存在时,系统的误差函数e(t)为
|
|






