|
频率分析法 |
|
频率分析法是根据系统的频率特性来确定闭环系统过渡过程的品质指标。工程设计中主要是运用开环和闭环对数频率特性来评价系统的瞬态响应特征。当利用开环对数频率特性时,主要利用开环频域指标,如穿越频率ωc、相位裕量γ和增益裕量Kg等来评价系统;当利用闭环对数频率特性时,主要利用闭环频域指标,如谐振频率ωr、截止频率ωb和谐振峰值Mr等来评估系统。这些指标与闭环系统瞬态响应的关系,对二阶系统来讲是可以准确计算的,但对高阶来讲,由于二者的关系比较复杂,通常是近似估算或按经验公式估算 (1)二阶系统频域性能指标与时域性能指标之间的关系 设二阶系统的闭环传递函数为
系统开环频域指标与时域指标的关系为
频域指标与时域指标的换算关系如图1所示
图1 系统开环频域指标与时域指标的换算关系 系统闭环频域指标与时域指标的关系
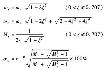
频域指标与时域指标的换算关系如图2所示 利用上述公式或关系曲线来确定闭环系统的过渡过程的品质时可按以下步骤来进行: ① 根据开环波德图或闭环波德图确定频域指标穿越频率ωc、相位裕量γ或谐振峰值Mr、截止频率ωb和谐振频率ωr; ② 根据γ或Mr求取系统的阻尼比ζ; ③ 根据γ或Mr求取系统瞬态响应的超调量σp; ④ 由阻尼比ζ和ωc/ωn或ωr/ωn或ωb/ωn求取系统的无阻尼自然角频率ωn; ⑤ 根据公式或关系曲线求取系统调整时间ts
图2 系统闭环频域指标与时域指标的换算关系 (2)高阶系统频域指标与时域指标的关系 ① 若高阶系统具有一对共轭复数闭环主导极点,则可以近似为二阶系统,系统的频域指标和时域性能指标的关系同二阶系统
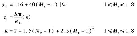
图3 高阶系统频域指标和时域指标的关系 ② 一般高阶系统,可按以下经验公式来估算:
式中 ωc——开环对数幅频特性的穿越频率(亦称增益交界频率); Mr——闭环频率特性的谐振峰值 当系统的谐振频率ωr和穿越频率ωc相差较小时,系统的谐振峰值Mr和相位裕量γ之间有以下的近似关系
指标的关系如图3所示 |







