|
时域分析法 |
|
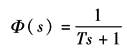
控制系统的动态品质分析是在系统稳定的条件下确定系统的各项动态性能指标,以衡量系统性能的好坏。确定系统动态性能指标可以采用时域分析法和频域分析法。时域法是根据系统的单位阶跃响应函数来求取动态性能指标,其中包括利用数字计算机进行仿真分析。频率法是根据系统的闭环或开环频率特性间接求取系统的动态性能指标 (1)一阶系统的单位阶跃响应函数及性能指标计算 设一阶系统的闭环传递函数为
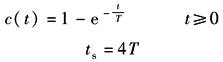
式中 T——系统的时间常数 单位阶跃响应函数如图1所示
图1 一阶系统单位阶跃响应曲线 图中响应函数c(t)为
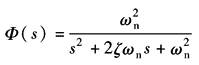
(2)二阶系统的单位阶跃响应函数及性能指标计算 设二阶系统的闭环传递函数为
式中 ωn——系统无阻尼自然角频率; ζ——系统阻尼比 其单位阶跃响应函数如图2所示
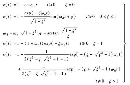
图2 二阶系统单位阶跃响应曲线 图中响应函数c(t)为
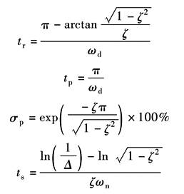
欠阻尼(0<ζ<1)情况下,系统动态性能指标的计算式为
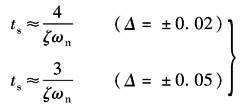
式中,Δ为允许误差范围,通常Δ=±(0.02~0.05)。若0<ζ<0.8时,忽略
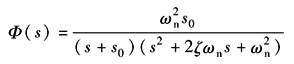
(3)三阶系统的单位阶跃响应函数 设三阶系统的闭环传递函数为
其单位阶跃响应函数如图3所示
图3 三阶系统单位阶跃响应曲线 图中响应函数c(t)为
(4)高阶系统的单位阶跃响应函数 设高阶系统的闭环传递函数为
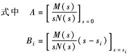
若系统的特征方程N(s)=0具有n个不相重的根si,则单位阶跃响应函数为
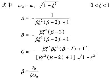
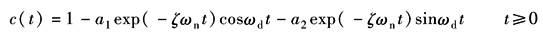
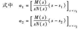
若系统的特征方程的根中包含重根和共轭复根,则可参阅拉氏反变换中有关论述 高阶系统若闭环极点中某一实数极点或某一对共轭极点,其距虚轴的距离与其他极点距虚轴距离之比小于或等于1/5,且在该极点附近不存在闭环零点,这类极点称为系统的主导极点。具有一对共轭极点为主导极点的高阶系统可以近似为二阶系统,其性能指标可以按二阶系统的方法进行计算。此时高阶系统的单位阶跃响应函数c(t)为
s1,s2——系统的一对共轭主导极点 |














