|
线性控制系统的性能指标 |
|
|||||
|
自动控制系统首先应该是稳定的。在保证系统稳定的条件下,还应进一步衡量系统的工作质量,以判别系统是否满足生产实际所提出的各项要求。评价系统性能的标准就是相应的各项性能指标,大体上分四类,如下表 |
|
|||||
|
控制系统的主要性能指标与要求 |
|
|||||
|
指标 |
主要内容 |
要求 |
|
|||
|
时 域 动 态 指 标 |
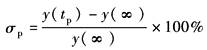
一般是指系统在单位阶跃输入作用下,其输出响应的形状所反映出来的特征值,如图a所示,主要是 |
|
|
|||
|
|
上升时间tr 响应曲线从稳态值的10%上升到90%所需时间 峰值时间tp 响应曲线达到过调量的第一个峰值所需时间 超调量σp 响应曲线的最大过调量与稳态值之比的百分数
调节时间ts 响应曲线衰减到与稳态值之差不超过稳态值的±5%(或±2%)时所需间时 |
σpmax<25% |
|
|||
|
实际的控制系统分析中还会依据具体的情况对动态指标提出其他要求,如过渡过程中的振荡次数、单调无超调响应以及扰动输入作用下的性能评价等 |
|
|||||
|
频 域 动 态 指 标 |
相当多的控制系统常用频域动态指标来衡量系统的过渡过程品质。频域动态指标有开环频域指标和闭环频域指标。前者是根据开环波德图来确定系统性能的特征值,后者是根据闭环波德图来确定系统性能的特征值 |
|
||||
|
开 环 频 域 指 标 |
|
增益交界频率ωc 开环波德图上幅频特性的增益L=0处的频率值 相位裕量γ 在ωc处的开环相频特性与-180°线的相位差,即γ=180°+φ(ωc) 增益裕量Kg 在相位等于-180°时的频率ωg处(称相位交界频率)幅频特性增益的相反数,即Kg=-L(ωg)dB |
30°~60°
>8dB |
|||
|
闭 环 频 域 指 标 |
|
谐振频率ωr 闭环波德图上幅频特性的增益为最大值Lmax处的频率值 谐振峰值Mr 对应于Lmax的闭环频率特性的幅值 截止频率ωb 在闭环波德图上,当幅频特性的增益值。下降到零频率处增益值以下3dB时所对应的频率 -3dB带宽ω-3dB 零到截止频率ωb之间的频率范围 -90°带宽ω-90° 在闭环波德图上,零频率到相频特性等于-90°处所对应频率的频率范围 |
>300rad/s
<1.04
0~400rad/s
0~350rad/s |
|||
|
稳 态 指 标 |
是控制系统准确度的度量,又称稳态误差。通常用动态误差系数和静态误差系数来表示 动态误差系数用来衡量各类控制作用下的系统准确度。静态误差系数用来衡量系统对于一些典型输入函数的跟踪能力和准确度 误差系数的计算方法,参见下节内容 |
阶跃指令输入时 essr=0 斜波干扰输入时 essf<0.01mm |
|
|||
|
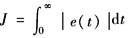
综 合 性 能 指 标 |
是控制系统性能的综合测量,它们是系统参数的函数。因此,当系统的某些参数取最佳值时,综合性能指标将取极值。综合性能指标的概念在最优控制中是十分重要的,通常称为目标函数,记为J。综合性能指标有许多种,常用的有: |
|
||||
|
误差 性能 指标 |
指标考虑系统的误差e和发生误差过程所需的时间t,系统力图使e或者e和t所构成的目标函数J的值最小。常用的目标函数为: 误差绝对值积分准则(IAE准则) 时间误差绝对值积分准则(ITAE准则) |
J最小 |
||||
|
二 次 型 性 能 指 标 |
式中 t0,tf——起始时间和终止时间; X(t)——系统的状态变量; u(t)——系统的控制量; P,Q,R——加权矩阵 其中 XT(tf)PX(tf)强调状态的终值为最小,而积分项则是使系统在t0至tf的期间内跟踪期望轨迹时的误差最小和能耗最小 |
|||||
|
注:表中所列举的要求属于一般性的要求,对于实际的系统则将根据工程实际所提出的性能指标和要求来评价系统。 |
|
|||||




