|
单位脉冲响应函数和单位阶跃响应函数 |
|
利用系统的单位脉冲响应函数或单位阶跃响应函数可以求取系统在任何其他形式输入条件下的系统响应。同时系统的单位脉冲响应函数和单位阶跃响应函数还反映了系统本身的固有特性。因此它们也都是描述系统动态特性的重要数学工具 (1)单位脉冲响应函数 当系统受到一个单位脉冲函数δ(t)输入作用时,其输出函数g(t)称为单位脉冲响应函数,又称权函数
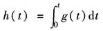
式中 G(s)——系统的传递函数 系统的g(t)已知时,系统对其他任何输入函数x(t)的响应y(t)可用Duhamel公式求出:
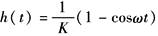
(2)单位阶跃响应函数 当系统受到一阶单位阶跃函数1(t)输入作用时,其输出函数h(t)称为单位阶跃响应函数。它等于
式中 g(t)——系统的单位脉冲响应函数 若系统的h(t)已知时,系统对其他任何输入函数x(t)的响应y(t)可由Duhamel公式求出:
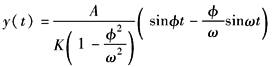
例 已知系统的单位阶跃响应函数
积分后得
|

