|
开环波德图、奈氏图和尼柯尔斯图的绘制 |
|||||||||||||||
|
绘制步骤 |
举例 |
||||||||||||||
|
1.绘制系统的波德图 |
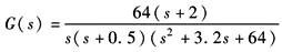
试绘制出以下系统的波德图、奈氏图和尼柯尔斯图
|
||||||||||||||
|
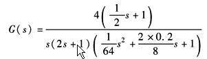
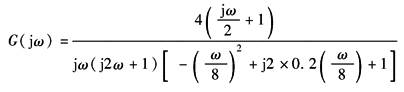
(1)绘制波德图时先将G(jω)改写成典型环节乘积形式 |
将G(s)变换成典型环节乘积形式
其频率特性为 |
||||||||||||||
|
(2)求出相应典型环节的转角频率 |
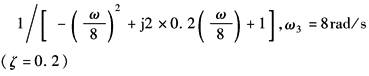
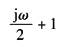
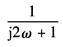
随频率的增加依次出现的典型环节和相应的转角频率ω为 比例积分环节 4/jω 惯性环节 1/(j2ω+1),ω1=0.5rad/s 一阶微分环节 jω/2+1,ω2=2rad/s 振荡环节 |
||||||||||||||
|
(3)随着频率的增加,以比例环节(或比例积分和比例微分环节)开始在半对数坐标纸上依次在各转角频率之间绘出相应的对数幅频特性的渐近直线 绘制相频特性时,先绘制出各典型环节的相频特性,然后根据各典型环节的相频曲线在各频率处的相位叠加,得到系统的相频特性 (4)最后通过修正渐近线得到精确的对数幅频曲线 |
各典型环节的对数幅频特性渐近线的特征 |
||||||||||||||
|
典型环节 |
ω/rad·s-1 |
对数幅频渐近线特征 |
相频特性 |
||||||||||||
|
|
无 |
一条斜率为-20dB/dec的直线与ω轴相交于ω=4处 |
恒等于-90° |
||||||||||||
|
|
ω1=0.5 |
ω<ω1时为零分贝的直线 ω≥ω1时为一条斜率为-20dB/dec的直线,交ω轴于ω=0.5rad/s处 |
在0°~90°之间变化,ω=ω1时φ(ω1)=-45° |
||||||||||||
|
|
ω2=2 |
ω<ω2时为零分贝的直线 ω≥ω2时为一条斜率为20dB/dec的直线,交ω轴于ω=2rad/s处 |
在0°~90°之间变化,ω=ω2时φ(ω2)=45° |
||||||||||||
|
|
ω3=8 (ζ=0.2) |
ω<ω3时为零分贝的直线 ω≥ω3时为一条斜率为-40dB/dec的直线,交ω轴于ω=8rad/s处 |
在0°~-180°之间变化,ω=ω3时φ(ω3)=-90° |
||||||||||||
|
在半对数坐标纸上随着频率的增大,依次将上表中的典型环节的对数幅频渐近线斜率进行叠加,得到Gj(ω)的对数幅频特性渐近线。各典型环节的对数相频特性叠加,可得到系统的对数相频特性如图a 按各典型环节的对数幅频特性进行修正,可得到如图a的精确对数幅频特性① |
|
||||||||||||||
|
2.根据波德图绘制其他二图 根据波德图求取各频率下的幅值和相位,即可方便地绘制出相应的奈氏图和尼柯尔斯图,如图b和c所示 对渐近线进行幅值修正时,惯性环节和一阶微分环节可按图d求取修正量。振荡环节和二阶微分环节可按图e求取修正量。总的幅值修正量等于在各频率处修正量的代数和 |
根据图a可依次求出各频率值时的幅值和相位,如下 |
||||||||||||||
|
频率/rad·s-1 |
0 |
0.5 |
1 |
2 |
4 |
7 |
8 |
10 |
20 |
∞ |
|||||
|
增益L(ω) |
∞ |
15.3 |
7.3 |
-2.6 |
-8.6 |
-8.6 |
-9.3 |
-13 |
-37.3 |
-∞ |
|||||
|
相位φ(ω) |
-90° |
-123° |
-127.5° |
-124.5° |
-127.5° |
-175.5° |
-196.5° |
-225° |
-263° |
-270° |
|||||
|
幅值A(ω) |
∞ |
5.8 |
2.3 |
0.74 |
0.37 |
0.37 |
-0.34 |
0.22 |
0.14 |
0 |
|||||
|
o(ω)=A(ω)cosφ(ω) |
0 |
-3.16 |
-1.40 |
-0.42 |
-0.22 |
-0.37 |
-0.33 |
-0.16 |
-0.02 |
0 |
|||||
|
Q(ω)=A(ω)sinφ(ω) |
-∞ |
-4.86 |
-1.80 |
-0.60 |
-0.29 |
-0.03 |
0.10 |
0.16 |
0.14 |
0 |
|||||
|
根据上表可分别绘出系统的奈氏图b和尼柯尔斯图c
|
|||||||||||||||
|
3.修正渐近线用图 |
|
||||||||||||||
|
①波德图可以用计算机来绘制。 |
|||||||||||||||






