|
梅逊增益公式 |
|
梅逊增益公式可用来计算输入节点和输出节点之间的总增益,即系统的传递函数。梅逊公式为
式中 P——输入节点和输出节点之间的总增益; n——前向通路的条数; Pk——第k条前向通路的增益; Δ——信号流图的特征式,
Δk——第k条前向通路特征式的余子式,它等于在Δ式中除去与第k条通路相接触的回路增益后的特征式 例 控制系统信号流图如下图所示,计算其总增益
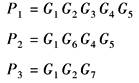
本例中输入量为R(s),输出量为C(s),其间有三条前向通路。各前向通路的增益为
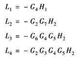
四个独立的回路增益为
本例中回路L1和L2不相接触,其他回路都相互接触。不相接触回路的增益为
流图的特征式Δ为
P1通路中除去与其相接触的回路L1,L2,L3,L4和L1L2后,余子式Δ1为
P2通路中除去与其相接触的回路L1,L2,L3,L4和L1L2后,余子式Δ2为
P3通路中除去与其相接触的回路L2,L3,L4和L1L2后,余子式Δ3为
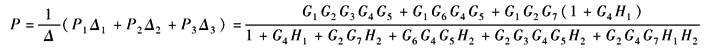
信号流图的总增益P为
|







