|
机、电、液系统中的典型环节 |
|||
|
任何复杂的控制系统的数学模型,都可以划分成一些简单基本的微分方程或传递函数,这些基本的数学描述称为系统的典型环节。典型环节是系统的动态特性描述,它与组成系统的基本元件是不同的概念,下表列出了机、液和电系统中相应的典型环节和传递函数 |
|||
|
典型环节实例及其传递函数 |
|||
|
名称及传递函数 |
机械例 |
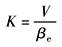
液压例 |
电例 |
|
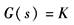
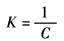
比例环节
|
|
|
|
|
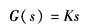
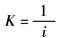
积分环节
|
|
|
|
|
微分环节
|
|
|
|
|
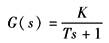
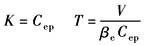
惯性环节
|
|
|
|
|
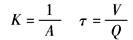
一阶微分环节
|
|
|
|
|
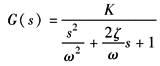
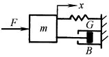
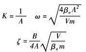
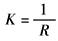
振荡环节
|
|
|
|
|
延迟环节
|
|
|
|























