|
气爪夹紧力计算 |
||||||||||||||||||||||||||||||||||||||||||||||
|
气爪类别 |
受力分析 |
计算公式 |
说明 |
|||||||||||||||||||||||||||||||||||||||||||
|
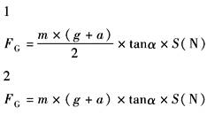
平行、旋转、摆角气爪(二爪) |
机械锁紧 |
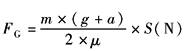
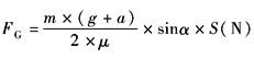
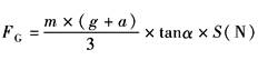
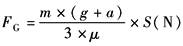
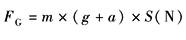
这里指的夹紧力FG是每个夹头的夹紧力,并且需考虑到在一定加速度的情况下夹紧工件运动时所需的夹紧力 对于摆角和旋转气爪来说,夹紧力FG必须换算成夹紧转矩MG MG=FG×r(N·m) 式中 r—力臂,m; m—工件质量,kg; g—重力加速度,g0≈10m/s2; a—动态运动时产生的加速度,m/s2; S—安全系数; α—V形气爪夹头的摆角(°); μ—气爪夹头与工件的摩擦因数 |
||||||||||||||||||||||||||||||||||||||||||||
|
|
|
|||||||||||||||||||||||||||||||||||||||||||||
|
机械锁紧带V形气爪夹具 |
||||||||||||||||||||||||||||||||||||||||||||||
|
|
|
|||||||||||||||||||||||||||||||||||||||||||||
|
摩擦锁紧 |
||||||||||||||||||||||||||||||||||||||||||||||
|
|
|
|||||||||||||||||||||||||||||||||||||||||||||
|
摩擦锁紧 |
||||||||||||||||||||||||||||||||||||||||||||||
|
|
|
|||||||||||||||||||||||||||||||||||||||||||||
|
三爪 |
机械锁紧 |
|||||||||||||||||||||||||||||||||||||||||||||
|
|
|
|||||||||||||||||||||||||||||||||||||||||||||
|
机械锁紧带V形气爪夹具 |
||||||||||||||||||||||||||||||||||||||||||||||
|
|
|
|||||||||||||||||||||||||||||||||||||||||||||
|
摩擦锁紧 |
||||||||||||||||||||||||||||||||||||||||||||||
|
|
|
|||||||||||||||||||||||||||||||||||||||||||||
|
工件与气爪夹头的摩擦因数μ |
ST—钢;STI—涂润滑油钢;AL—铝;ALI—涂润滑油铝;R—橡胶 |
|||||||||||||||||||||||||||||||||||||||||||||
|
安全系数S |
|
|||||||||||||||||||||||||||||||||||||||||||||












