|
开式机架的计算 |
|
如表短应力线轧机中图2的机架只要外力确定后,就可以像对简支梁一样来进行计算,不必叙述 如下图的二辊开式机架,在轧制过程中,设轧辊上受有垂直力P,当力P作用在下横梁时,机架立柱的上部显然会向机架窗口的内侧变形,通常机盖带有外止口,立柱的上端带有内止口,所以机盖将不阻碍立柱向内变形。当立柱向机架内侧弯折变形后,将夹紧上辊轴承座(轴承座与机架窗口间一般采用转动配合)。如下图所示,作用在下横梁中的弯曲力矩为:
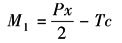
其最大弯曲力矩将发生在下横梁的中间,即当 机架立柱将同时在拉伸及弯曲下工作,立柱中的弯曲力矩为:
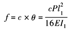
关键的问题是推求T: 立柱向内弯曲时,由于轴承座和机架立柱间有间隙Δ,当立柱受到力P的作用时,如果变形量2f≤Δ,就不可能产生T力;这时的计算和前面的相同。只有当2f>Δ时才有如下的计算 计算P力作用时立柱在T力作用点处的自由水平挠度,由下横梁端的转角形成,每侧
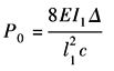
2f=Δ时,每侧位移仍为f,设此时的垂直力为P0:
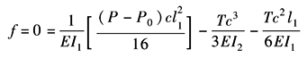
式中 c——T力作用点高度,见下图; I1——下横梁的截面惯性矩; I2——立柱的截面惯性矩 以后P0增加到P,增量为P-P0,而立柱对轴承座的压力由0增加到T,但T处的变形量不变,即在两力的增量下变形为0,因此由挠度计算公式(最后一项为两边T力使下横梁偏转而可能产生的位移):
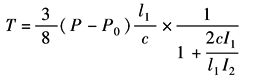
可求得: 其他就都可以计算了。内力分布如下图中所示
作用在二辊开式机架上的力及弯矩 |





