|
闭口式机架的变形(延伸)计算 |
|
1)因构件内任意点的弯矩和正压(拉)力及剪力都已求得,各构件的变形可按梁的材料力学计算表查得后累加起来求得 我们关心的是机架在P1作用点的垂直方向的变形f。它由三部分组成,即立柱变形、上横梁变形和下横梁变形。而上、下横梁变形又由弯曲力矩及垂直力作用所引起的变形与由剪切力作用所引起的变形两部分所组成。故机架在垂直方向的总变形为:
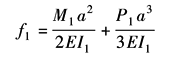
式中 f2——在立柱上由于垂直力的作用所引起的变形; f1(f3)——在上(或下)横梁上由于弯曲力矩及垂直力的作用所引起的变形; f1'(f3')——在上(或下)横梁上由于剪切力的作用所引起的变形 例如,图1所示的机架,立柱的伸长为:
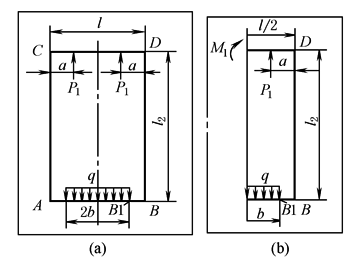
上横梁P1处变形以图示D点为固定点,
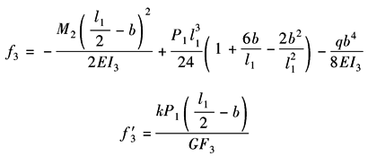
式中 G——切变模量; k——影响剪切的断面形状系数,对矩形k=1.2 下横梁应以计算均布载荷终端B1点(见图1)的变形为准,以中心线OO1为固定线,悬臂梁B1点的挠度为:
说明:f3' 中未计算b段的剪力变形,因为假设下梁该部分是贴于机座的,并且b段的压力变化是很复杂的,既然已经按均布受力计算是个概略的数值,而剪力变形本来就又比弯曲变形小很多,所以就没有必要再计算了
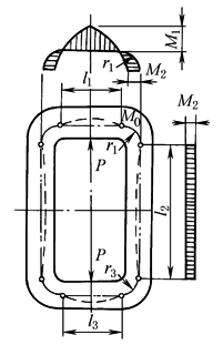
图1 2)对于图2,令P1=P/2,a=l1/2,b=0代入上面的式子即可 3)对于圆弧段,如图3,则增加M0处端面相对于M2处端面的变形。可用虚位移法求得如下式:
最后一项为剪切产生的延伸。对于下横梁的圆弧,用不同的参数代入即可
图2 直角形框架 图3 小圆角形框架 图4 圆弧形框架 4)对于图4,不计算上、下横梁,只计算圆弧和立柱就可以了 说明:① 忽略了水平力对机架垂直方向变形的作用 ② 对于非圆弧的转角必须计算时,用分段积分累加求得。 |









