|
机架内的应力与许用应力 |
|
|
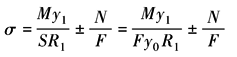
(1)内应力 上面已解出了唯一的未知数,构件内任意点的弯矩M和正压(拉)力N及剪力Q都可以求得。对每一个构件所受最大的力各令其为M、N、Q 1)按常规计算,直杆内的应力为: 式中 W——相应截面的截面系数; F——该截面面积 |
|
|
2)曲线段内的应力(如右图所示): ① 曲线段截面中心的曲率半径r>4h(h—截面高度)时按直杆计算; ② 曲线段截面中心的曲率半径r≤4h时: 对任意形状的横截面:
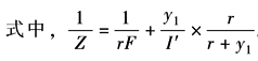
或(较方便) |
|
|
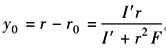
式中 r——断面中心的原始弯曲半径; R1——截面最外层的原始曲率半径,R1=r0+y1; r0——截面惯性中心的原始曲率半径; F——截面面积; Z——曲梁修正的抗弯截面系数; y1——截面最外层至截面惯性中心的距离; S——面积中性轴以上部分对面积中性轴的静面矩; y0——面积中性轴与截面惯性中心的距离 曲杆外侧和内侧的应力不同,上面公式用不同的y1(y1在内侧为负号)和R1代入即可 ③ 对圆形及圆形类(例椭圆)截面、矩形截面亦可按下式计算:
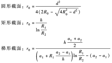
式中 W——截面系数,内侧与外侧可能是不同的; k1——校正系数,对于曲杆外侧约为0.8~0.9;对内侧约为1.1~1.3。详细可查阅“材料力学的基本公式” 注意:这里关键的问题是求I' 或r0,要用级数展开积分求任一的近似值。再用下列关系式求另一个: 已求得的几种截面的r0如下:
式中 h——截面高度; a2——梯形底长,底边较长一般弯曲是在内侧; a1——梯形顶长; d——圆形截面直径; R0——圆形截面中心原始弯曲半径; R1——外侧原始弯曲半径; R2——内侧原始弯曲半径。 3)剪应力 曲杆内的剪应力最大在截面中心处:
式中 k0——最大剪应力修正系数,对于圆形及圆形类(例椭圆)截面,k0=1.33;对矩形截面,k0=1.5;对轧制工字钢,一般约为k0=1.17(面积F只算高度乘腹板宽度); Q——截面的剪切力; F——截面积 通常情况下剪应力不必验算。只验算要求有高强度的组合梁的腹板和支座处的受力状态 (2)许用应力 说明:无论如何设定,计算与实际状况都是有偏差的,即使采用有限元法来计算也避免不了这种情况。并且,对于轧钢机来说,关键的问题是变形量必须很小才能保证轧制的精度。因此许用应力推荐较小的数值,当材料为ZG270-500时,在一般情况下: 对大型轧钢机机架,横梁[σ]=30~50MPa,立柱[σ]=20~30MPa; 对小型轧钢机机架,横梁[σ]=50~70MPa,立柱[σ]=30~40MPa |
|






