|
计算结果举例 |
|
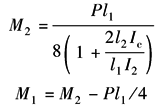
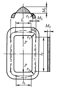
为了简化计算,作如下假设 ① 每片机架(牌坊)只在上横梁的中间断面处受有垂直力P,或对称作用有P1,且此两力大小相等,机架的外载是平衡的。这时机架没有倾翻力矩,机架脚不受力 ② 严格地说,由于轧制速度的变化和咬入时的冲击引起的惯性力,或在张力轧制时,轧制力的方向都不是垂直的。不过水平分力的数值一般都比较小(约为垂直分力的3%~4%),因而可以忽略不计;只有当水平分力较大时,才应考虑水平分力的影响 ③ 上、下横梁和立柱的交界处(拐角处)是刚性的(一般机架拐角处的刚性都是比较大的),即机架变形后,拐角仍保持不变 根据上述假设条件,可将每片牌坊看成一个外载和几何尺寸都是相对垂直中心线对称的由中性轴线组成的弹性框架 (1)直角形框架(图1) 将P1=P/2,a=l1/2,q=0代入表计算原理中式(6),得:
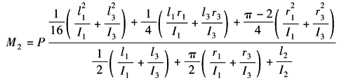
式中,Ic见表计算原理中式(7) (2)小圆角形框架(图2)(注意尺寸标注) 将P1=P/2,a=l1/2,b=0代入表计算原理中式(2)~式(4),及利用表计算原理中式(9)的关系式,M0=M2-P1r再运用表计算原理中式(8)两次,加到表计算原理中式(5)中,得:
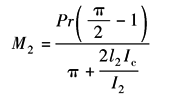
对于很小的圆弧,可各用I'1或I'3代替上式的I1或I3(见注) (3)圆弧形框架(图3) 设I1、I3不等,令l1=l3=0代入上式,得:
图1 直角形框架 图2 小圆角形框架 图3 圆弧形框架 |






