|
计算原理 |
|
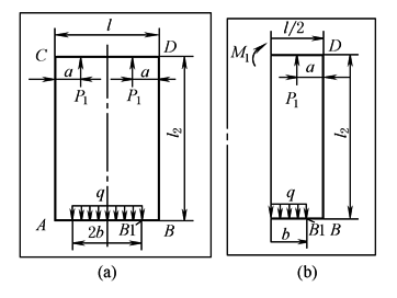
1)首先,要根据结构来确定轧制力的位置是在机架的中心线还是偏离中心线。另外,下横梁的反力是按集中载荷还是按均布载荷考虑,如图1a所示,图中可以是P或q:
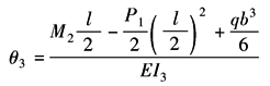
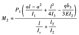
2)因为这种静不定结构只有一个多余未知力,最方便的方法是在中心线处切开,附加一个未加的截面弯矩M1,如图1b所示。计算由P及q力和M1对该切面产生的变形(平面转动),令其等于零,就可求得M1 转角D处的弯矩为: 令转角θ顺时针方向为正,使上梁产生的转角为: 使立柱产生的转角为: 使下梁产生的转角为: 由 可求得M2为:
其中 式中 I1,I3,I2——分别为上、下横梁、立柱的截面惯性矩(其他参数见图); E——弹性模量 再由式(1)求得: M1为负数,说明弯矩的方向与图示相反
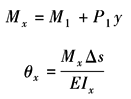
图1 3)若立柱由几段不同的截面组成,各段高度为l1、l2、l3、…,其相应的截面惯性矩各为I21、I22、I23、…则θ2的式(3)中l2/I2改用(l1/I21+l2/I22+l3/I23+…)代入即可 4)以上是假设转角处刚度很大不发生变形的情况。在这种情况下,相当于四连杆的刚架,其计算是有图表可查的。在《常用力学计算公式》的“单跨刚架计算公式”表的后部分可供使用。但单根构件的截面是不变的 5)当转角的刚度不是很大,计算时要考虑其变形时,即所谓的半刚度框架。转角由几段折线或曲线组成,如图2所示,将曲线段划为几段,计算各段的长度Δs及P力至截面中心的距离y,该段的弯矩为: 偏角为: 各段综合起来加于式(5)中,即可求得M1。当然上面其他几个公式中的长度也要相应改动
图2 6)对于特殊情况,如转角为四分之一圆弧,则如图2b,令圆角处的弯矩为M0: Δs=rdφ,x=rsinφ,Mx=M0+Px代入式(7),积分得该段圆弧的偏角:
① 严格地说来,曲线段截面中心的曲率半径r≤4h(h—截面高度)时,截面惯性矩Ix应该用Ix' 来代替:
式中 F——截面面积 但这种计算方法较麻烦,计算应力时用系数处理 下横梁的偏角按相同方法处理。同样把这些公式加于式(5)中,即可求得M1。这里,M0为曲线起点处的弯矩:见图2b
式中 r——断面中心曲率半径 7)这里没有计及立柱受到的水平方向的外力,该力虽由机架支座承受,但其与支座反力将组成力矩同样作用在机架上,有必要时是应加入计算的。因为计算原理是相同的,只不过在转角公式中增加一项或几项,不再赘叙 |









