|
等截面单跨刚架计算公式 |
||||||||||
|
下表列出了铰接和固定支座的等截面单跨刚架不同载荷时及温度变化时的内力公式 |
||||||||||
|
等截面刚架的内力计算公式 |
||||||||||
|
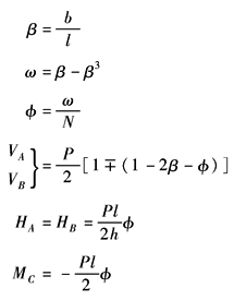
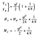
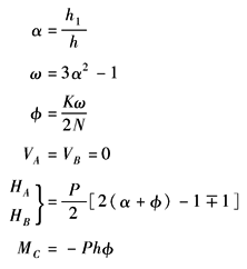
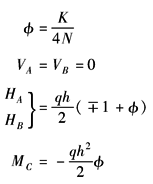
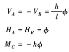
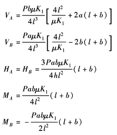
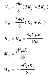
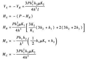
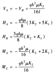
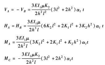
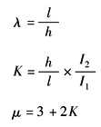
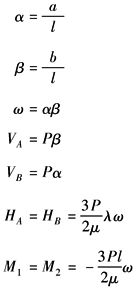
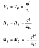
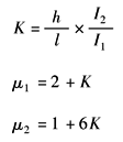
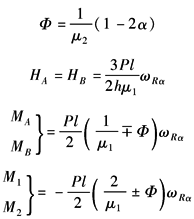
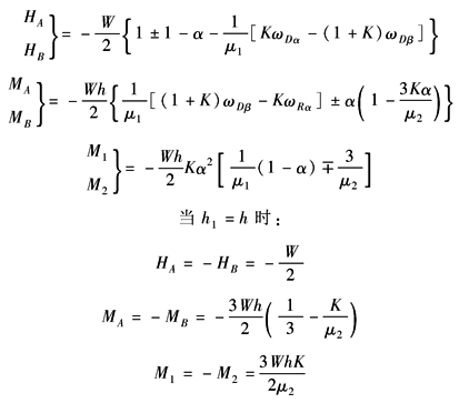
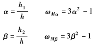
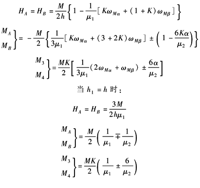
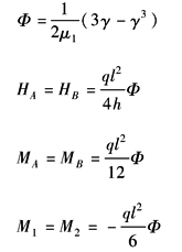
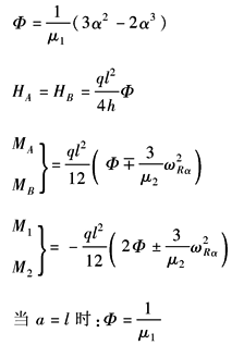
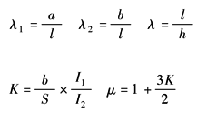
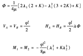
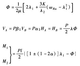
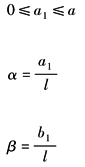
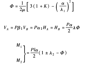
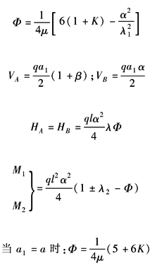
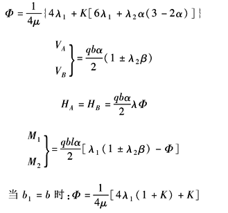
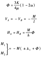
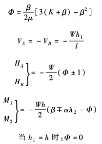
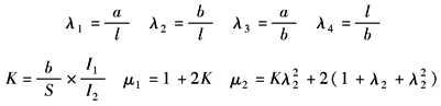
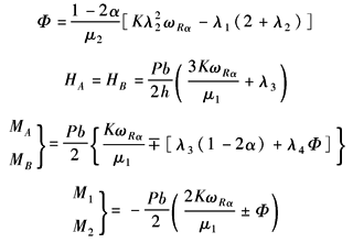
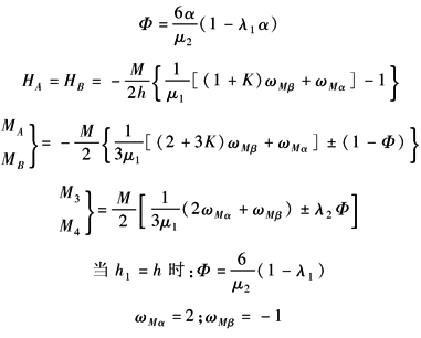
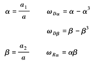
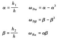
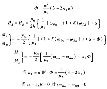
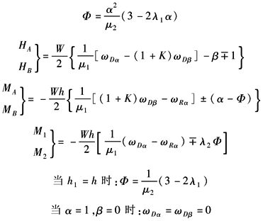
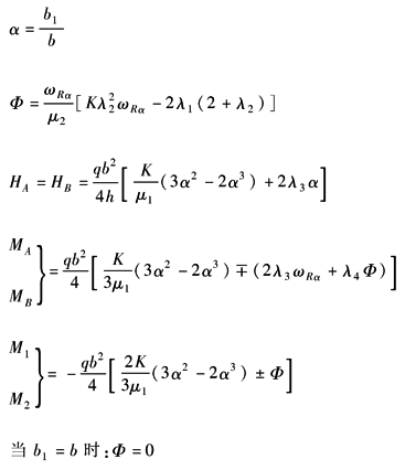
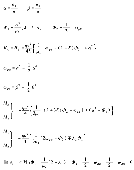
反力和内力的正负号规定如下: V——支座反力,向上者为正 H——支座反力,向内者为正 M——刚架的弯矩,刚架内侧受拉者为正,弯矩图画受拉一面 I1,I——杆件的截面惯性矩 |
||||||||||
|
(1)
|
|
|||||||||
|
|
|
|
|
|||||||
|
|
|
|
|
|||||||
|
|
|
|
||||||||
|
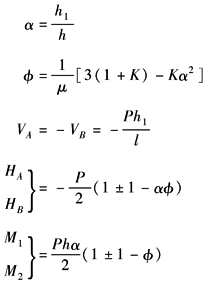
(2)
|
|
|||||||||
|
|
|
|||||||||
|
|
|
|||||||||
|
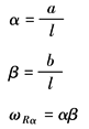
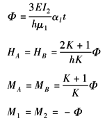
αl——线胀系数 t——加热温度,℃ |
|
|||||||||
|
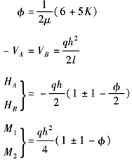
(3)
|
|
|||||||||
|
|
|
|
|
|||||||
|
|
|
|
|
|||||||
|
αl——线胀系数 t——加热温度,℃ |
|
|||||||||
|
(4)
|
|
|||||||||
|
|
|
|
|
|||||||
|
|
|
|||||||||
|
|
|
|||||||||
|
|
||||||||||
|
|
|
|||||||||
|
|
|
|||||||||
|
αl——线胀系数 t——加热温度,℃ |
|
|||||||||
|
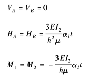
(5)
|
|
|||||||||
|
|
|
|
||||||||
|
|
||||||||||
|
|
|
|
|
|||||||
|
|
|
|||||||||
|
|
|
|
|
|||||||
|
|
|
|||||||||
|
|
|
|
|
|||||||
|
|
|
|||||||||
|
|
|
|||||||||
|
(6)
|
|
|||||||||
|
|
|
|
|
|||||||
|
|
|
|||||||||
|
|
|
|
|
|||||||
|
|
|
|||||||||
|
|
|
|||||||||
|
|
|
|||||||||
|
|
|
|||||||||
|
||||||||||



































































































