|
均布载荷等截面等跨排架计算公式 |
|
均布载荷等截面等跨排架计算图 令 式中 E,I,l——分别为相应的弹性模量、截面系数和长度
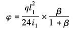
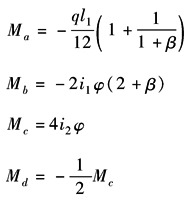
(1)只有一跨有载荷时,即图示仅结点1左边有载荷q时 1)1点各处的弯矩为(以图示方向为正):
因用结点不移动只转动求得,故Mc与Md不等,且有水平推力,见图。它和柱的垂直力及梁的剪力根据弯矩都可以求得 2)2点的弯矩为:
3)再往右,3点的弯矩为:
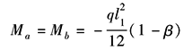
(2)有两跨有载荷时,即图示1、2跨有载荷q时,此情况下梁内的弯矩最大。最大弯矩发生于1点:
柱的弯矩最大发生在1点或2点:
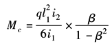
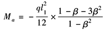
(3)当许多跨都有载荷时,即如平常管子排架的状况:
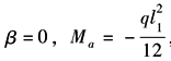
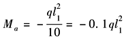
说明:① 如柱子刚度足够大,则 ② 如令i2=0,即柱不参与变形计算,则 最大在两跨有载荷时: 多跨有载荷时: |










