|
空腹框架的计算公式 |
|
空腹刚架(习惯称为空腹框架)的计算方法是假定上、下两杆在力的作用下有共同的变形,这和一般结构力学计算单跨对称多层刚架在水平载荷作用下的计算方法相同。由此假定,竖杆中点为拐点,并且变形后和上下节点处于同一条直线上。轴向力引起的变形与通常计算一样也是略去的。下面介绍几个计算公式。因为是应用差分方程推得的,公式中略去了某些影响较小的项,所以有可能与其他方法推得的公式稍有差别,但误差不大 (1)悬臂空腹桁梁(图1)
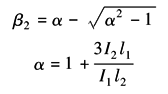
图1 集中力Pn作用于n点时,n点的挠度近似计算公式:
集中力作用于k点时n点的挠度
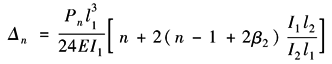
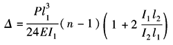
其中 式中 k——图中从下向上数的节间数; I1,I2——弦杆或腹杆的截面惯性矩; l1,l2——弦杆或腹杆的长度 (2)起重机空腹框架式梁,节间数为奇数(图2) 图a为等效悬臂桁架
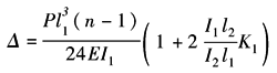
图2 挠度的计算公式为(节间数为2n-1):
其他符号意义同前 (3)起重机空腹框架梁,节间数为偶数(图3)
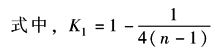
图3 挠度的近似计算公式(节间数为2n):
符号意义同前 |









