|
图乘公式 |
||||
|
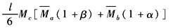
在梁或平面刚架的位移计算公式(1)中略去下标,则
积分是指遍布全杆件的。总和表示为所有杆件的。若杆件为直杆且EI为常数,则有如下形式的积分:
|
||||
|
式(2)包括两个图形,即
式中 W——M图的面积;
于是积分式(2)可以用图形相乘来代替,简称为“图乘法” |
|
|||
|
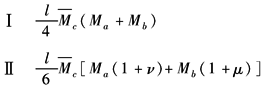
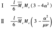
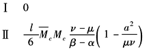
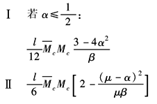
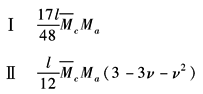
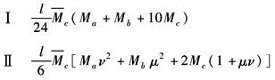
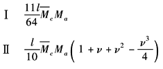
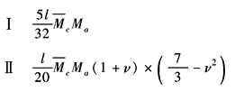
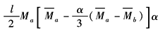
如果 M图可以是直线的或曲线的,如果由直线所组成,则可以和 下表给出常用积分 |
||||
|
积分式 |
||||
|
序 号 |
M图
|
|
|
|
|
1 |
|
|
|
|
|
2 |
|
|
|
|
|
3 |
|
|
|
|
|
4 |
|
|
|
|
|
5 |
|
|
— |
|
|
6 |
|
|
|
|
|
7 |
|
|
|
|
|
8 |
|
|
|
|
|
9 |
|
|
|
|
|
10 |
|
|
|
|
|
11 |
|
|
|
|
|
12 |
|
|
|
|































