|
应用结点及截面平衡方程计算刚架的步骤 |
|
① 确定结构的结点位移未知量数。当一杆件的一端为铰接或铰支时,可利用转角位移方程写出它端的弯矩,这样可以减少一个结点转角未知量 ② 顺序写出各杆端弯矩的转角位移方程。在此之前,须算出承受载荷各杆的固端弯矩。写转角位移方程时,可先假定所有结点转角和位移的符号都是正号 ③ 建立结点及截面的平衡方程。所谓结点平衡方程,即连结任一刚结点的各杆近端作用于该结点的弯矩的代数和应等于零。所谓截面平衡方程,即在刚架任一层内作一水平截面而取其上部为隔离体,则在此隔离体上各被截柱内的水平剪力与所有水平载荷的总代数和应等于零。任一竖柱下端的剪力可在其隔离体上对其上端取弯矩的平衡方程求出 ④ 解联立方程,求出各结点位移未知量 ⑤ 将求得的未知量数值及其正负号代回各转角位移方程,算出各杆端弯矩 ⑥ 作出结构的弯矩图、剪力图和轴力图 例 试绘出图a所示刚架的弯矩图
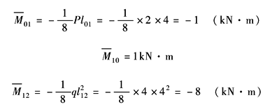
解 在此刚架中,结点2为铰接点;θ0=θ3=0,只有两个未知量θ1及Δ 固端弯矩为:
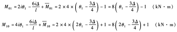
转角位移方程为,由表角变位移方程中式(1):
一端固定一端铰支按表角变位移方程中式(2):
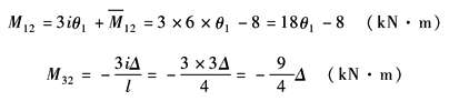
利用结点平衡方程∑M1=0,即M10+M12=0得:
设通过竖柱01及32的下端作一截面并考虑其上部为隔离体,则得截面平衡方程为:
代入有关数值,则得:
式(a)和(b)联立,求得:
代回到各杆端弯矩式中,则得:
弯矩图见图c |





