|
应用基本体系及典型方程计算刚架的步骤 |
|
1)基本结构。取刚架节点的变形(节点的转角及独立线位移)作为未知量。未知转角数等于刚架的刚节点数(刚架支座为固定支座时,其转角等于零,属于已知数);独立线位移数等于将刚架节点改为铰接时,保证结构几何不变所需要增加的支承连杆数 在刚架(图a)上增加足够而必要的附加联系(即在刚节点处放置附加刚臂以阻止节点的旋转,放置支承连杆以阻止节点的线位移),使刚架变成一系列的单跨超静定梁,这就将刚架变换成了基本结构(图b)
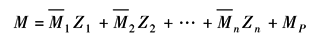
2)建立典型方程。根据基本结构在附加刚臂内所产生的总反矩及在支承连杆内所产生的总反力均等于零的条件列出变形法典型方程组。对于有n个未知变形的超静定结构,就需要增加n个附加联系,故可列出n个变形法典型方程,即
式中 Zi——刚架节点i的未知转角或未知线位移; rik——由于Zk=1的作用,在基本结构的附加联系i内产生的反矩或反力称为系数,且rik=rki; RiP——由于载荷P的作用,在附加联系i内产生的反矩或反力,称为自由项;反矩或反力的方向与结点发生变形(转角或线位移)的方向相同为正,方向相反则为负 3)用静力法计算系数及自由项。首先分别绘出基本结构的各杆件由于载荷及单位变形所产生的弯矩图。其基本结构由载荷产生的弯矩图以MP表示,由单位转角Z1=1产生的弯矩图以 4)将求得的各系数及自由项代入典型方程组(1),即可求出各未知变形量Z1、Z2、…、Zn 5)绘制内力图。由叠加原理计算最终弯矩图
绘出弯矩图后,就可顺序绘出剪力图和轴向力图 |


